Double Trouble

Doubly Robust Methods For Unmeasured Confounding

Doubly Robust Methods
Confounding
Author

Ryan Batten

Published

September 25, 2025

Power of Two

Doubly robust methods can be very useful for causal inference. Why? They combine two models: one for the outcome, and one for the treatment. This creates a model that is doubly robust. The question is….robust to what?

Model Misspecification

Every model ever made is misspecified. Why? Because it’s not exact, it’s an approximation of the real world. This can lead to bias. How much bias depends on how much the model is misspecified. If close enough, there is minimal bias. If grossly misspecified, a lot more bias.

Doubly robust methods can be quite helpful with this. If either of the two models is correctly specified (or close), then our bias will be less than either model alone.

This begs the question….what else can we use doubly robust methods for?

Unmeasured Confounding

The villain to every observational study ever conducted. The ever lurking….unmeasured confounding.

There are several ways we can mitigate this villain’s powers. The most obvious tool is randomization, however in observational research we can’t do that. One option is to use sensitivity analyses to better understand how it would impact us.

However….what about doubly robust methods? Would these be powerful enough to mitigate our villian’s powers?

Let’s find out!

Enter the Simulation

To see whether this hair-brained scheme could work, we’ll simulate some data. Let’s lay out some ground rules for our simulation:

  • Going to run it 1000 times (chosen due to run time/don’t want our laptops to implode)

  • Sample size of 250 (arbitrary)

  • Two measured confounders (one continuous, one binary)

  • Two unmeasured confounders (both continuous)

  • Binary treatment

  • Continuous outcome

  • Target estimand will be the average treatment effect (ATE)

Methods we’ll explore:

  • Individual probability weighting only

  • Generalized linear model (outcome model only)

  • Doubly robust: using the same covariates in both the propensity score model and the outcome model

Code
# Title: Setup 

# Description: This code is the setup for what we will be using later. It includes the libraries and any functions that we may need. 

library(tidyverse) # ol' faithful
library(WeightIt) # for IP weighting
library(kableExtra) # for formatting table output
library(ggdag) # for drawing a DAG 

#... Functions ----

# We will use this function to simulate data 

sim_data <- function(n = 250, # sample size 
                     beta_trt = 1.5, # treatment effect
                     # Parameters for Z1 
                     z1_mean = 5, z1_sd = 1, 
                     # Parameters for Z2
                     z2_size = 1, z2_prob = 0.5, 
                     # Parameters for U1
                     u1_mean = 10, u1_sd = 3,
                     u2_mean = 2, u2_sd = 0.5,
                     # Confounder - Effect on X
                     z1_on_x = 0.05, z2_on_x = 0.5, 
                     u1_on_x = 0.08, u2_on_x = 0.8, 
                     # Confounder - Effect on Y
                     z1_on_y = 0.5, z2_on_y = 0.7,
                     u1_on_y = 0.4, u2_on_y = 2
){
  
  # Creating the Dataframe
  
  df <- data.frame(
    z1 = rnorm(n = n, mean = z1_mean, sd = z1_sd), # measured continuous confounder
    z2 = rbinom(n = n, size = z2_size, prob = z2_prob), # measured binary confounder
    u1 = rnorm(n = n, mean = u1_mean, sd = u1_sd), # unmeasured confounder 
    u2 = rnorm(n = n, mean = u2_mean, sd = u2_sd) # unmeasured confounder 
  ) %>% 
    dplyr::mutate(
      beta_trt = 1.5, 
      prob = plogis(u1_on_x*u1 - u2_on_x*u2 + z1_on_x*z1 + z2_on_x*z2), 
      x = rbinom(n = n, size = 1, prob = prob), 
      y = beta_trt*x + z1_on_y*z1 + z2_on_y*z2 + u1_on_y*u1 + u2_on_y*u2 + rnorm(n = n, mean = 0, sd = 1)
      #y = beta_trt*x + z1_on_y*z1 + z2_on_y*z2 + rnorm(n = n, mean = 0, sd = 1)
    )
  
  # Return the dataframe
  
  return(df)
}

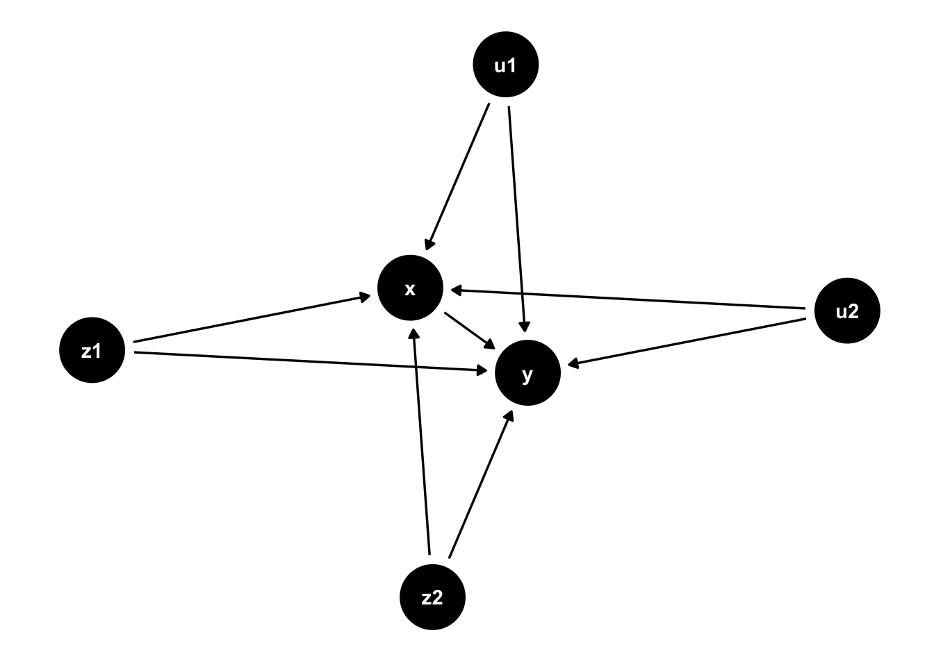
And of course, we need a directed acyclic graph (DAG)!

Code
theme_set(theme_dag())

dag_example <- ggdag::dagify(
  x ~ z1 + z2 + u1 + u2, 
  y ~ z1 + z2 + u1 + u2 + x, 
  exposure = "x",
  outcome = "y"
)

ggdag::ggdag(dag_example, layout = "nicely")

Perfectly Imperfect

For our first scenario, let’s assume that we perfectly specify both models based on the data we have. We will include both of the measured confounders (z1 & z2), in each model. However, the model will still be imperfect since there is unmeasured confounding.

How does it look for each method?

Code
# Inverse Probability Weighting (IPW) ----

ipw <- function(sample.size){
  
  trt_effect <- 1.5 # same as in sim_data() function 
  
  # Simulating data
  
  df <- sim_data()
  
  # Fitting PS model - estimating the average treatment effect and stabilizing the weights
  
  ps.mod <- WeightIt::weightit(x ~ z1 + z2, 
                               data = df, 
                               method = "glm", 
                               estimand = "ATE", 
                               stabilize = TRUE)
  
  # Fitting outcome model 
  
  mod <- glm_weightit(y ~ x, # note: not doubly robust, so only including exposure variable
                      family = gaussian(link = "identity"), 
                      data = df,
                      weights = ps.mod$weights)
  
  estimate <- broom::tidy(mod)$estimate[2] # this is the estimate
  
  bias_for_one = estimate - trt_effect # comparing the estimate to the "true" effect 
  
  df_bias = data.frame(
    bias_for_one,
    estimate # need for estimating relative precision later 
  )
  
  return(df_bias)
  
}

# Repeating 1000 times using a sample size of 250

output_list <- replicate(1000, ipw(sample.size = 250), simplify = FALSE)

df.out.ipw <- do.call(rbind, output_list) %>% # reformatting
  
  # Adding a new column that will be used to estimate the Monte Carlo SE of the estimate
  mutate(
    squared = (bias_for_one - mean(bias_for_one))^2,
    residuals_squared = (estimate - mean(estimate))^2
  )


# Calculating the mean bias and Monte Carlo SE of estimate

# See Morris et al. (2019) for details on calculating these

ipw.bias <- mean(df.out.ipw$bias_for_one) # bias  
ipw.se.of.bias <- sqrt(sum(df.out.ipw$squared)*(1 / (1000*999))) # Monte Carlo SE of bias (1000 is number of simulations, 999 is n - 1)

# Outcome Model ----

out_mod <- function(sample.size){
  
  trt_effect <- 1.5 # same as in sim_data() function 
  
  # Simulating data
  
  df <- sim_data()
  
  # Fitting outcome model 
  
  mod <- glm(y ~ x + z1 + z2, # note: not doubly robust for this example
             family = gaussian(link = "identity"), 
             data = df)
  
  estimate <- broom::tidy(mod)$estimate[2] # this is the estimate
  
  bias_for_one = estimate - trt_effect # comparing the estimate to the "true" effect 
  
  df_bias = data.frame(
    bias_for_one,
    estimate # need for estimating relative precision later 
  )
  
  return(df_bias)
  
}

# Repeating 1000 times using a sample size of 250

output_list <- replicate(1000, out_mod(sample.size = 250), simplify = FALSE)

df.out.outmod <- do.call(rbind, output_list) %>% # reformatting
  
  # Adding a new column that will be used to estimate the Monte Carlo SE of the estimate
  mutate(
    squared = (bias_for_one - mean(bias_for_one))^2,
    residuals_squared = (estimate - mean(estimate))^2
  )


# Calculating the mean bias and Monte Carlo SE of estimate

# See Morris et al. (2019) for details on calculating these

outmod.bias <- mean(df.out.outmod$bias_for_one) # bias  
outmod.se.of.bias <- sqrt(sum(df.out.outmod$squared)*(1 / (1000*999))) # Monte Carlo SE of bias (1000 is number of simulations, 999 is n - 1)

# Doubly Robust ----

dr <- function(sample.size){
  
  trt_effect <- 1.5 # same as in sim_data() function 
  
  # Simulating data
  
  df <- sim_data()
  
  # Fitting PS model - estimating the average treatment effect and stabilizing the weights
  
  ps.mod <- WeightIt::weightit(x ~ z1 + z2, 
                               data = df, 
                               method = "glm", 
                               estimand = "ATE", 
                               stabilize = TRUE)
  
  # Fitting outcome model 
  
  mod <- glm_weightit(y ~ x + z1 + z2, # note: not doubly robust for this example
                      family = gaussian(link = "identity"), 
                      data = df,
                      weights = ps.mod$weights)
  
  estimate <- broom::tidy(mod)$estimate[2] # this is the estimate
  
  bias_for_one = estimate - trt_effect # comparing the estimate to the "true" effect 
  
  df_bias = data.frame(
    bias_for_one,
    estimate # need for estimating relative precision later 
  )
  
  return(df_bias)
  
}

# Repeating 1000 times using a sample size of 250

output_list <- replicate(1000, dr(sample.size = 250), simplify = FALSE)

df.out.dr <- do.call(rbind, output_list) %>% # reformatting
  
  # Adding a new column that will be used to estimate the Monte Carlo SE of the estimate
  mutate(
    squared = (bias_for_one - mean(bias_for_one))^2,
    residuals_squared = (estimate - mean(estimate))^2
  )


# Calculating the mean bias and Monte Carlo SE of estimate

# See Morris et al. (2019) for details on calculating these

dr.bias <- mean(df.out.dr$bias_for_one) # bias  
dr.se.of.bias <- sqrt(sum(df.out.dr$squared)*(1 / (1000*999))) # Monte Carlo SE of bias (1000 is number of simulations, 999 is n - 1)


# Results ----

results <- data.frame(
  `Method` = c("IPW", "Outcome Model", "Doubly Robust"), 
  `Bias` = c(ipw.bias, outmod.bias, dr.bias), 
  se_of_bias = c(ipw.se.of.bias, outmod.se.of.bias, dr.se.of.bias)
) %>% 
  rename(`Monte Carlo SE of Bias` = se_of_bias)

knitr::kable(results) %>% 
  kable_styling(bootstrap_options = "striped", full_width = F, position = "left")
Method Bias Monte Carlo SE of Bias
IPW -0.1112812 0.0074219
Outcome Model -0.0956331 0.0074621
Doubly Robust -0.1074268 0.0075944

Interesting! So we can see from above that if we use a doubly robust method, there is some benefit although it might be minimal. This begs another question, what if we misspecify both models? Would a doubly robust method be better there?

Imperfect Model in an Imperfect World

For this example, we will include only one confounder for each model. For the propensity score model, we’ll include z1. For the outcome model, we’ll include z2. How does this look?

Code
# IPW ----

ipw <- function(sample.size){
  
  trt_effect <- 1.5 # same as in sim_data() function 
  
  # Simulating data
  
  df <- sim_data()
  
  # Fitting PS model - estimating the average treatment effect and stabilizing the weights
  
  ps.mod <- WeightIt::weightit(x ~ z1, 
                               data = df, 
                               method = "glm", 
                               estimand = "ATE", 
                               stabilize = TRUE)
  
  # Fitting outcome model 
  
  mod <- glm_weightit(y ~ x, # note: not doubly robust for this example
                      family = gaussian(link = "identity"), 
                      data = df,
                      weights = ps.mod$weights)
  
  estimate <- broom::tidy(mod)$estimate[2] # this is the estimate
  
  bias_for_one = estimate - trt_effect # comparing the estimate to the "true" effect 
  
  df_bias = data.frame(
    bias_for_one,
    estimate # need for estimating relative precision later 
  )
  
  return(df_bias)
  
}

# Repeating 1000 times using a sample size of 250

output_list <- replicate(1000, ipw(sample.size = 250), simplify = FALSE)

df.out.ipw <- do.call(rbind, output_list) %>% # reformatting
  
  # Adding a new column that will be used to estimate the Monte Carlo SE of the estimate
  mutate(
    squared = (bias_for_one - mean(bias_for_one))^2,
    residuals_squared = (estimate - mean(estimate))^2
  )


# Calculating the mean bias and Monte Carlo SE of estimate

# See Morris et al. (2019) for details on calculating these

ipw.bias <- mean(df.out.ipw$bias_for_one) # bias  
ipw.se.of.bias <- sqrt(sum(df.out.ipw$squared)*(1 / (1000*999))) # Monte Carlo SE of bias (1000 is number of simulations, 999 is n - 1)

# Outcome Model ----

out_mod <- function(sample.size){
  
  trt_effect <- 1.5 # same as in sim_data() function 
  
  # Simulating data
  
  df <- sim_data()
  
  # Fitting outcome model 
  
  mod <- glm(y ~ x + z2, # note: not doubly robust for this example
             family = gaussian(link = "identity"), 
             data = df)
  
  estimate <- broom::tidy(mod)$estimate[2] # this is the estimate
  
  bias_for_one = estimate - trt_effect # comparing the estimate to the "true" effect 
  
  df_bias = data.frame(
    bias_for_one,
    estimate # need for estimating relative precision later 
  )
  
  return(df_bias)
  
}

# Repeating 1000 times using a sample size of 250

output_list <- replicate(1000, out_mod(sample.size = 250), simplify = FALSE)

df.out.outmod <- do.call(rbind, output_list) %>% # reformatting
  
  # Adding a new column that will be used to estimate the Monte Carlo SE of the estimate
  mutate(
    squared = (bias_for_one - mean(bias_for_one))^2,
    residuals_squared = (estimate - mean(estimate))^2
  )


# Calculating the mean bias and Monte Carlo SE of estimate

# See Morris et al. (2019) for details on calculating these

outmod.bias <- mean(df.out.outmod$bias_for_one) # bias  
outmod.se.of.bias <- sqrt(sum(df.out.outmod$squared)*(1 / (1000*999))) # Monte Carlo SE of bias (1000 is number of simulations, 999 is n - 1)

# Doubly Robust ----

dr <- function(sample.size){
  
  trt_effect <- 1.5 # same as in sim_data() function 
  
  # Simulating data
  
  df <- sim_data()
  
  # Fitting PS model - estimating the average treatment effect and stabilizing the weights
  
  ps.mod <- WeightIt::weightit(x ~ z1, 
                               data = df, 
                               method = "glm", 
                               estimand = "ATE", 
                               stabilize = TRUE)
  
  # Fitting outcome model 
  
  mod <- glm_weightit(y ~ x + z2, # note: not doubly robust for this example
                      family = gaussian(link = "identity"), 
                      data = df,
                      weights = ps.mod$weights)
  
  estimate <- broom::tidy(mod)$estimate[2] # this is the estimate
  
  bias_for_one = estimate - trt_effect # comparing the estimate to the "true" effect 
  
  df_bias = data.frame(
    bias_for_one,
    estimate # need for estimating relative precision later 
  )
  
  return(df_bias)
  
}

# Repeating 1000 times using a sample size of 250

output_list <- replicate(1000, dr(sample.size = 250), simplify = FALSE)

df.out.dr <- do.call(rbind, output_list) %>% # reformatting
  
  # Adding a new column that will be used to estimate the Monte Carlo SE of the estimate
  mutate(
    squared = (bias_for_one - mean(bias_for_one))^2,
    residuals_squared = (estimate - mean(estimate))^2
  )


# Calculating the mean bias and Monte Carlo SE of estimate

# See Morris et al. (2019) for details on calculating these

dr.bias <- mean(df.out.dr$bias_for_one) # bias  
dr.se.of.bias <- sqrt(sum(df.out.dr$squared)*(1 / (1000*999))) # Monte Carlo SE of bias (1000 is number of simulations, 999 is n - 1)


# Results ----

results <- data.frame(
  `Method` = c("IPW", "Outcome Model", "Doubly Robust"), 
  `Bias` = c(ipw.bias, outmod.bias, dr.bias), 
  se_of_bias = c(ipw.se.of.bias, outmod.se.of.bias, dr.se.of.bias)
) %>% 
  rename(`Monte Carlo SE of Bias` = se_of_bias)

knitr::kable(results) %>% 
  kable_styling(bootstrap_options = "striped", full_width = F, position = "left")
Method Bias Monte Carlo SE of Bias
IPW -0.0352957 0.0076658
Outcome Model -0.0852447 0.0075845
Doubly Robust -0.1120202 0.0075194

The doubly robust method is actually MORE misspecified 😲. Now, you may be thinking “duh, both models are misspecified”. This is true, but both were technically misspecified in the previous example (since unmeasured confounding wasn’t included). What would happen if we applied the same methodology, but in an example where there is only measured confounding?

Measured Confounding

Let’s use the same approach as before where both the propensity score and outcome model are missing a measured covariate, with a twist: this time no unmeasured confounding.

Code
# Function for simulating data ----

# This function is the same as what we've been using previously with one crucial point: 
# There is no unmeasured confounding.

sim_data <- function(n = 250, # sample size 
                     beta_trt = 1.5, # treatment effect
                     # Parameters for Z1 
                     z1_mean = 5, z1_sd = 1, 
                     # Parameters for Z2
                     z2_size = 1, z2_prob = 0.5, 
                     # Parameters for U1
                     u1_mean = 10, u1_sd = 3,
                     u2_mean = 2, u2_sd = 0.5,
                     # Confounder - Effect on X
                     z1_on_x = 0.05, z2_on_x = 0.5, 
                     u1_on_x = 0.08, u2_on_x = 0.8, 
                     # Confounder - Effect on Y
                     z1_on_y = 0.5, z2_on_y = 0.7,
                     u1_on_y = 0.4, u2_on_y = 2
){
  
  # Creating the Dataframe
  
  df <- data.frame(
    z1 = rnorm(n = n, mean = z1_mean, sd = z1_sd), 
    z2 = rbinom(n = n, size = z2_size, prob = z2_prob)
    #u1 = rnorm(n = n, mean = u1_mean, sd = u1_sd),
    #u2 = rnorm(n = n, mean = u2_mean, sd = u2_sd)
  ) %>% 
    dplyr::mutate(
      beta_trt = 1.5, 
      prob = plogis(z1_on_x*z1 + z2_on_x*z2), # removed u1 & u2
      x = rbinom(n = n, size = 1, prob = prob), 
      y = beta_trt*x + z1_on_y*z1 + z2_on_y*z2 + rnorm(n = n, mean = 0, sd = 1) # removed u1 & u2
    )
  
  # Return the dataframe
  
  return(df)
}


# IPW ----

ipw <- function(sample.size){
  
  trt_effect <- 1.5 # same as in sim_data() function 
  
  # Simulating data
  
  df <- sim_data()
  
  # Fitting PS model - estimating the average treatment effect and stabilizing the weights
  
  ps.mod <- WeightIt::weightit(x ~ z1, 
                               data = df, 
                               method = "glm", 
                               estimand = "ATE", 
                               stabilize = TRUE)
  
  # Fitting outcome model 
  
  mod <- glm_weightit(y ~ x, # note: not doubly robust for this example
                      family = gaussian(link = "identity"), 
                      data = df,
                      weights = ps.mod$weights)
  
  estimate <- broom::tidy(mod)$estimate[2] # this is the estimate
  
  bias_for_one = estimate - trt_effect # comparing the estimate to the "true" effect 
  
  df_bias = data.frame(
    bias_for_one,
    estimate # need for estimating relative precision later 
  )
  
  return(df_bias)
  
}

# Repeating 1000 times using a sample size of 250

output_list <- replicate(1000, ipw(sample.size = 250), simplify = FALSE)

df.out.ipw <- do.call(rbind, output_list) %>% # reformatting
  
  # Adding a new column that will be used to estimate the Monte Carlo SE of the estimate
  mutate(
    squared = (bias_for_one - mean(bias_for_one))^2,
    residuals_squared = (estimate - mean(estimate))^2
  )


# Calculating the mean bias and Monte Carlo SE of estimate

# See Morris et al. (2019) for details on calculating these

ipw.bias <- mean(df.out.ipw$bias_for_one) # bias  
ipw.se.of.bias <- sqrt(sum(df.out.ipw$squared)*(1 / (1000*999))) # Monte Carlo SE of bias (1000 is number of simulations, 999 is n - 1)

# Outcome Model ----

out_mod <- function(sample.size){
  
  trt_effect <- 1.5 # same as in sim_data() function 
  
  # Simulating data
  
  df <- sim_data()
  
  # Fitting outcome model 
  
  mod <- glm(y ~ x + z2, # note: not doubly robust for this example
             family = gaussian(link = "identity"), 
             data = df)
  
  estimate <- broom::tidy(mod)$estimate[2] # this is the estimate
  
  bias_for_one = estimate - trt_effect # comparing the estimate to the "true" effect 
  
  df_bias = data.frame(
    bias_for_one,
    estimate # need for estimating relative precision later 
  )
  
  return(df_bias)
  
}

# Repeating 1000 times using a sample size of 250

output_list <- replicate(1000, out_mod(sample.size = 250), simplify = FALSE)

df.out.outmod <- do.call(rbind, output_list) %>% # reformatting
  
  # Adding a new column that will be used to estimate the Monte Carlo SE of the estimate
  mutate(
    squared = (bias_for_one - mean(bias_for_one))^2,
    residuals_squared = (estimate - mean(estimate))^2
  )


# Calculating the mean bias and Monte Carlo SE of estimate

# See Morris et al. (2019) for details on calculating these

outmod.bias <- mean(df.out.outmod$bias_for_one) # bias  
outmod.se.of.bias <- sqrt(sum(df.out.outmod$squared)*(1 / (1000*999))) # Monte Carlo SE of bias (1000 is number of simulations, 999 is n - 1)

# Doubly Robust ----

dr <- function(sample.size){
  
  trt_effect <- 1.5 # same as in sim_data() function 
  
  # Simulating data
  
  df <- sim_data()
  
  # Fitting PS model - estimating the average treatment effect and stabilizing the weights
  
  ps.mod <- WeightIt::weightit(x ~ z1, 
                               data = df, 
                               method = "glm", 
                               estimand = "ATE", 
                               stabilize = TRUE)
  
  # Fitting outcome model 
  
  mod <- glm_weightit(y ~ x + z2, # note: not doubly robust for this example
                      family = gaussian(link = "identity"), 
                      data = df,
                      weights = ps.mod$weights)
  
  estimate <- broom::tidy(mod)$estimate[2] # this is the estimate
  
  bias_for_one = estimate - trt_effect # comparing the estimate to the "true" effect 
  
  df_bias = data.frame(
    bias_for_one,
    estimate # need for estimating relative precision later 
  )
  
  return(df_bias)
  
}

# Repeating 1000 times using a sample size of 250

output_list <- replicate(1000, dr(sample.size = 250), simplify = FALSE)

df.out.dr <- do.call(rbind, output_list) %>% # reformatting
  
  # Adding a new column that will be used to estimate the Monte Carlo SE of the estimate
  mutate(
    squared = (bias_for_one - mean(bias_for_one))^2,
    residuals_squared = (estimate - mean(estimate))^2
  )


# Calculating the mean bias and Monte Carlo SE of estimate

# See Morris et al. (2019) for details on calculating these

dr.bias <- mean(df.out.dr$bias_for_one) # bias  
dr.se.of.bias <- sqrt(sum(df.out.dr$squared)*(1 / (1000*999))) # Monte Carlo SE of bias (1000 is number of simulations, 999 is n - 1)


# Results ----

results <- data.frame(
  `Method` = c("IPW", "Outcome Model", "Doubly Robust"), 
  `Bias` = c(ipw.bias, outmod.bias, dr.bias), 
  se_of_bias = c(ipw.se.of.bias, outmod.se.of.bias, dr.se.of.bias)
) %>% 
  rename(`Monte Carlo SE of Bias` = se_of_bias)

knitr::kable(results) %>% 
  kable_styling(bootstrap_options = "striped", full_width = F, position = "left")
Method Bias Monte Carlo SE of Bias
IPW 0.0845856 0.0043921
Outcome Model 0.0241229 0.0046696
Doubly Robust -0.0004500 0.0041988

Huh? Doubly robust DOES help in this case! So what in tarnation is going on?!

Bias….Bias….And….MORE BIAS!

At this point, we have three different scenarios we can use to try and piece together an explanation. Let’s dive in.

First, the bias of a doubly robust method is the product of the bias from each model (Funk et al. 2011):

\[ Bias_{Doubly\ Robust\ Method} = Bias_{Treatment \ Model}*Bias_{Outcome \ Model} \]

This means that if either of the models are correctly specified, then we’re good to go! However, if both models are misspecified….we’ve got issues. The problem is it depends on the degree of bias of each model.

So what does this have to do with confounding? I’m glad you asked.

Confounding causes bias. It doesn’t matter if it’s measured or unmeasured. If we’re trying to fit a model and there is unmeasured confounding, we could have some problems. Even if we correctly model the measured confounding there is bias from unmeasured confounding. How much depends on the quantity and magnitude of confounders.

This bias could be magnified in a doubly robust method, if both models have a large amount of bias.

So what do we with this information?

What’s Next?

Consider if there is unmeasured confounding in your study, and if you are confident in the model being correctly specified. If we have the measured confounding model correctly, based on our examples, there seems to be minimal benefit but not much of a detriment.

However, if you believe the model isn’t correct, or there is a large amount of unmeasured confounding it’s worth considering if a doubly robust method is appropriate.

This is intended to be an introductory post. The specifics of your analysis may differ.

I’d love to hear your thoughts on doubly robust methods for unmeasured confounding! Hope this post gave you something to consider going forward.

References

Funk, Michele Jonsson, Daniel Westreich, Chris Wiesen, Til Stürmer, M Alan Brookhart, and Marie Davidian. 2011. “Doubly Robust Estimation of Causal Effects.” American Journal of Epidemiology 173 (7): 761–67.